耐火材料抵抗溫度的急劇變化而不破壞的性能成為熱震穩定性,此種性能也成為抗熱震性或溫度急變抵抗性,它是材料力學性能和熱學性能對受熱條件的綜合反應。眾所周知,硅磚受急冷急熱容易產生裂紋、開裂,鎂磚易于剝落,通常被成為熱震穩定性低的材料或抗熱震性小的材料。反之,鎂碳磚等受急冷急熱時,不容易產生裂紋、開裂,則為熱震穩定性高或抗熱震性大的材料。
耐火材料是非均質的脆性材料,與金屬制品相比,由于它的熱膨脹率較大,熱導率和彈性較小、以及抗張強度低等,抗熱應力而不被破壞的能力差,導致其抗熱震性較低。材料的熱震破壞可分為兩大類;一類是瞬時斷裂,稱為熱沖擊斷裂;另一類是在熱沖擊循環作用下,先出現開裂,剝落,然后碎裂和變質,終至整體損壞,稱為熱震損傷。基于這兩種理論,有以下兩種表征熱震穩定性的參數:
(1)抗熱震斷裂
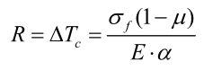
①急冷集熱時,當σmax值超過材料的強度極限σf時,即可導致開裂。從而材料所能承受的最大安全溫度差即臨界溫差ΔTc為
顯然ΔTc值越大,說明材料能承受的溫度變化也愈大,即抗熱震愈好,故得到抗熱震參數R為:
材料因出現熱應力而破壞,不僅與熱應力的大小有密切關系,而且還與材料中應力的分布、產生的速率和持續時間、材料的特性和結構等因素有關,因此R僅在一定程度上反映材料抗熱沖擊性的優劣,并不能簡單地認為就是材料允許承受的臨界溫度差,只能看做ΔTc與R有一定關系。
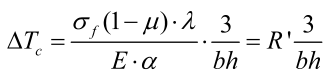
②緩慢加熱冷卻時,在此條件下的臨界溫差ΔTc為:
式中R’=R·λ稱為抗熱震參數。適用于當材料的內部和外部與環境的溫度差相接近并形成穩定溫度分布時,用以比較材料的抗熱震性。
(2)抗熱震損傷
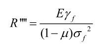
從斷裂力學的觀點出發,分析材料在溫度變化條件下的裂紋成核、擴展及抑制等動態過程,以彈性應變能和斷裂能之間的平衡作為熱震損壞的微裂紋,在熱震環境中出現的裂紋核亦不總是立即導致材料的斷裂。當材料中可能積存的彈性應變能小,而使裂紋擴展成新斷裂面所必須的斷裂表面能大時,則材料的抗熱震性好。因此材料的抗裂紋擴展能力正比于斷裂表面能,反比于彈性應變能。此時抗熱震損傷參數具有下列形式:
在對一系列斷裂能γ相當的材料進行比較時,γf可視作常數。于是,得出抗熱震損傷參數:
根據以上分析可以得出結論,抗熱震損傷性能好的材料應具有較高的彈性模量和較低的強度,提高其斷裂能和改善其斷裂韌性顯然更是有益的,適量的微裂紋催在于耐火材料中將為抗熱震損傷性能的提高作出貢獻。
材料的熱學性能和力學性能(如熱導率、熱膨脹系數、強度、彈性模量等)對其抗熱震性能有著重要的影響,提高材料熱震穩定性的方法有:
①材料的抗熱震性能主要取決于其熱膨脹系數α,低膨脹系數的材料往往具有優良的熱震穩定性;
②材料的熱導率λ,將有利于材料的熱傳遞,緩解了內外溫差,降低熱應力的大小;
③提高材料的抗折強度σ且減小彈性模量E,將使σ/E提高,能吸收較多的彈性應變能而不致開裂。
此外,降低材料的彈性模量E,會降低由于溫差所產生的熱應力。
研究了不同耐火材料的性能,之后提出了5個提高耐火材料熱震穩定性的方法。
1、控制耐火材料保持適當的氣孔率,有助于增加制品的斷裂能,改變裂紋擴展時的路徑;
2、控制顆粒的臨界粒徑及粒徑分布,可得到較大的裂紋密度,形成網絡狀的裂紋分布;
3、通過調整具有不同熱膨脹系數的顆粒劑基質,使得制品內部產生微裂紋,形成微裂紋增韌;
4、選擇合理的界面結合,使得顆粒和基質之間形成適當的結合強度,形成顆粒拔出、顯微開裂等能耗機制;
5、在制品中添加“三石”等膨脹劑,利用其熱膨脹系數的差異,形成微裂紋。
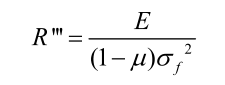
測試了堇青石基陶瓷材料的彈性模量及抗折強度等性能,研究了不同的抗熱震參數,結果表明,適合于 R'''' 抗熱震參數適合于評價堇青石基陶瓷材料的熱震穩定性。
為了更好的評價含碳耐火材料的熱震穩定性,根據R''''、Rst抗熱震損傷的參數,研究了斷裂功、氣孔率、彈性模量等對熱震穩定性的影響,結果表明,提高斷裂功將有助于含碳耐火材料的熱震穩定性。
選用碳黑及天然鱗片石墨等為原料,研究了顆粒級配、復合抗氧化劑、石墨粒度和復合結合劑4個因素對低碳鎂碳磚熱震穩定性的影響,結果表明,顆粒級配對低碳低碳鎂碳磚的熱震穩定性影響最大。
有學者在鎂碳磚中添加特殊石墨取代普通鱗片石墨,研究其對抗折強度、彈性模量、斷裂能、熱震穩定性的影響。結果表明,添加了特殊石墨的鎂碳磚其彈性模量降低,斷裂能增加,使得其具有更好的熱震穩定性。





